Avantador Jom Tengok Apa Nama Korang Dalam Bahasa Jepun Facebook
Apakah Maksud Nama Anda Dalam Bahasa Jepun
3 Jenis Tulisan Jepun Sayameso
Thekhairina Tukar Nama Kepada Bahasa Korea Dan Jepun
Mykoreanwave Collection Belajar Bahasa Korea 2012
Mau Tahu Nama Anda Dalam Bahasa Jepun Iezwanmalique S Life In Random
Korean Course Learn Hanguko
Apakah Maksud Nama Anda Dalam Bahasa Jepun
Mau Tahu Nama Anda Dalam Bahasa Jepun Iezwanmalique S Life In Random
Imantulis Jom Belajar Bahasa Korea
Abjad Korea Hangul Huruf Abjad Korea A Sampai Z Dan Artinya Di 2020 Huruf Bahasa Korea Belajar
Apakah Makna Nama Anda Dalam Bahasa Jepun
Eiba Lives Tukar Nama Anda Ke Bahasa Jepun
Apakah Maksud Nama Anda Dalam Bahasa Jepun
Universitas Korea Wikipedia Bahasa Indonesia Ensiklopedia Bebas
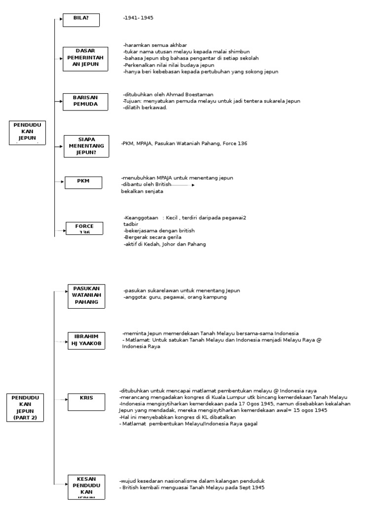
Pendudukan Jepun
Daftar Biaya Kursus Bahasa Korea 2020 Kursus Bahasa Mandarin Bahasa Mandarin Semarang Kursus Bahasa Mandarin Semarang Kursus Bahasa Mandarin Semarang 2020
Media Sempoi Tukar Nama Ke Bahasa Jepun
2000 Kosakata Bahasa Korea Selatan Cocok Untuk Belajar Info Menarik