4 Surat Perjanjian Sewa Menyewa Tanah
Contoh Perjanjian Sewa Tanah Guru Ilmu Sosial
Contoh Surat Perjanjian Sewa Menyewa Tanah Sawah Contoh Seputar Surat
Doc Surat Perjanjian Sewa Tanah Saksi Saksi Muhammad Maftuhin Academia Edu
Sewa Menyewa Tanah Contoh Surat Perjanjian Sewa Tanah Di Malaysia Dapatkan Contoh
Pdf Contoh Surat Perjanjian Sewa Menyewa Tanah Fh Uii Saqboel Krisna Academia Edu
Contoh Surat Perjanjian Kontrak Rumah
Contoh Surat Perjanjian Sewa Menyewa Tanah Yang Resmi Format Word Contoh Surat Surat Sederhana Tanggal
Contoh Surat Sewa Tanah Pertanian Bagikan Contoh
Surat Perjanjian Sewa Tanah Freelancer
Contoh Perjanjian Sewa Menyewa Rumah Pdf Download Bioluxm5
7 Contoh Surat Perjanjian Sewa Rumah Terbaru 2019
Contoh Surat Perjanjian Sewa Menyewa Tanah Kosong Backup Gambar
Contoh Surat Perjanjian Sewa Menyewa Tanah
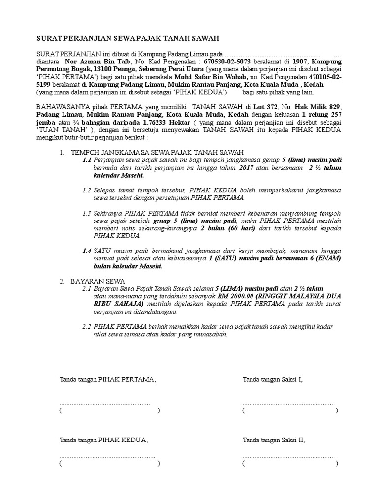
Surat Perjanjian Sewa Pajak Tanah Sawah 2016
Contoh Surat Perjanjian Sewa Menyewa Tanah Di Malaysia
Contoh Surat Perjanjian Kontrak Rumah Sederhana Contoh Surat